Bài 1 (Tổ hợp - Sưu tầm). Cho tam giác \(ABC\). Một điểm \(P\) trong tam giác gọi là "điểm tốt" nếu tìm được \(2021\) tia chung gốc \(P\) cắt tam giác thành \(2021\) tam giác con có diện tích bằng nhau. Hỏi có bao nhiêu "điểm tốt" như vậy?
Trả lờiMỖI NGÀY MỘT BÀI TOÁN TỔ HỢP
Được tạo lúc 2021-05-17 14:49:15 , cập nhật lúc 2021-05-24 13:25:44
Phan Vĩnh Tiến
Phan Vĩnh Tiến
Chỉnh sửa lần cuối vào 2021-06-17 23:22:30
Nội dung
Bài toán 30.

Bài toán 31.

Bài toán 32.

Bài toán 33.

Phan Vĩnh Tiến
Chỉnh sửa lần cuối vào 2021-06-17 23:55:58
Nội dung
Lời giải bài toán 18.

Phan Vĩnh Tiến
Chỉnh sửa lần cuối vào 2021-06-18 05:51:56
Nội dung
Lời giải bài toán 19.

Phan Vĩnh Tiến
Chỉnh sửa lần cuối vào 2021-06-18 13:27:21
Nội dung
Lời giải bài toán 20.
Lời giải bài toán 21.
Lời giải bài toán 22.


Phan Vĩnh Tiến
Chỉnh sửa lần cuối vào 2021-06-18 14:32:59
Nội dung
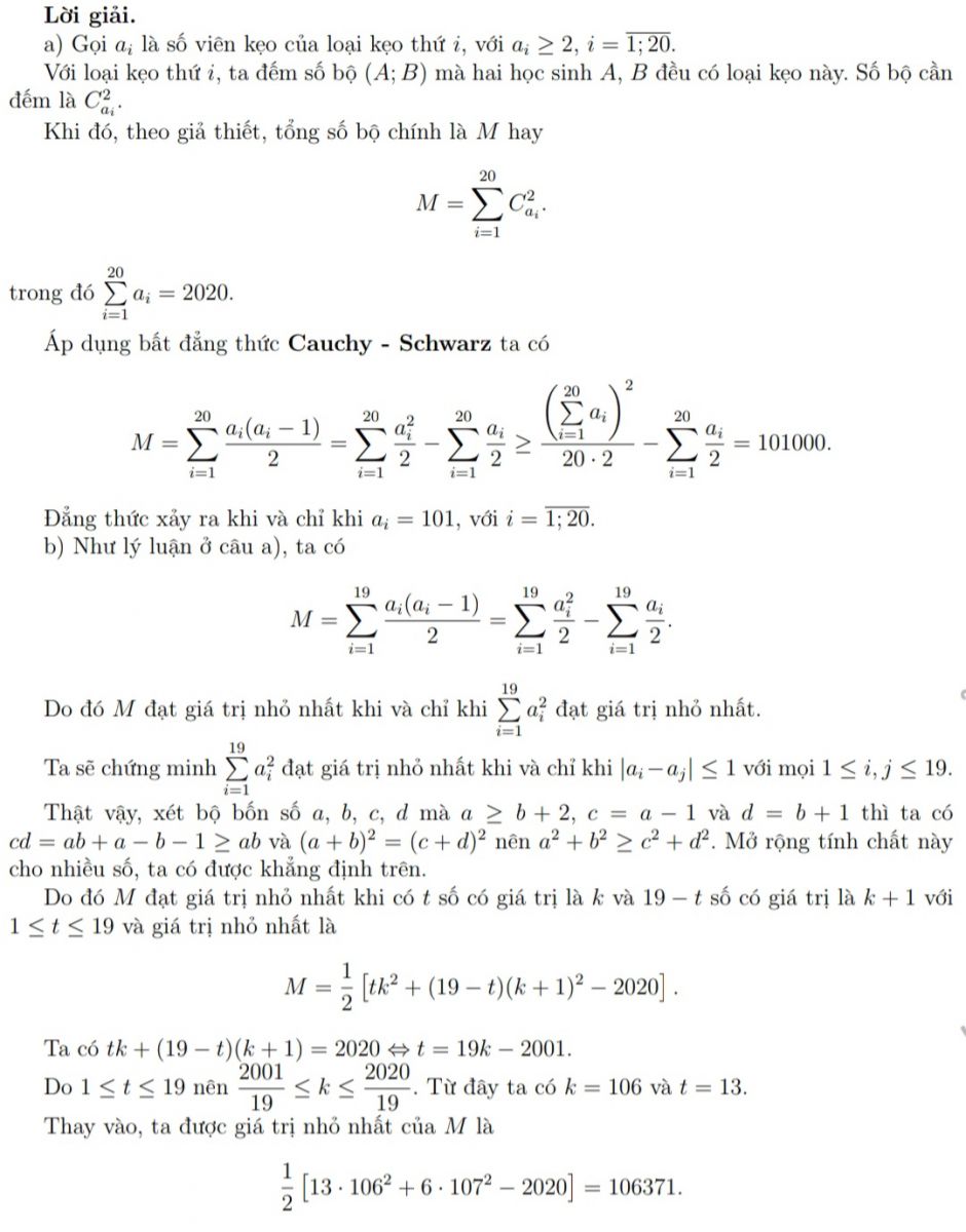
Lời giải bài toán 23.

