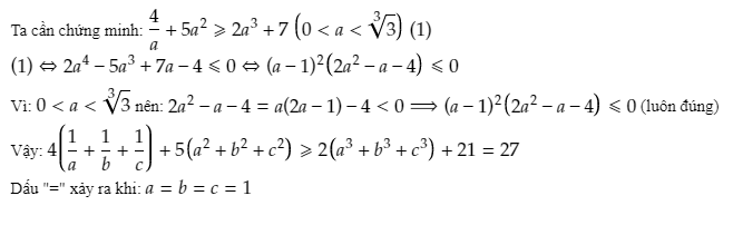
cho a,b,c>0 và \(a^3+b^3+c^3=3 \)
Chứng minh rằng: \(4\bigg(\dfrac{1}{a}+\dfrac{1}{b}+\dfrac{1}{c}\bigg)+5(a^2+b^2+c^2)\geq27\)
Trả lời
quân phạm
cho a,b,c>0 và \(a^3+b^3+c^3=3 \)
Chứng minh rằng: \(4\bigg(\dfrac{1}{a}+\dfrac{1}{b}+\dfrac{1}{c}\bigg)+5(a^2+b^2+c^2)\geq27\)
Trả lời