Đây là Box để các bạn trao đổi về các đề thi chuyên, các bạn có thể đăng đề lên và thảo luận nhé.
Phát bắn đầu tiên: Đề chuyên Toán PTNK thi sáng nay.

Trả lời

Khương Nguyễn
Đây là Box để các bạn trao đổi về các đề thi chuyên, các bạn có thể đăng đề lên và thảo luận nhé.
Phát bắn đầu tiên: Đề chuyên Toán PTNK thi sáng nay.

Trả lời

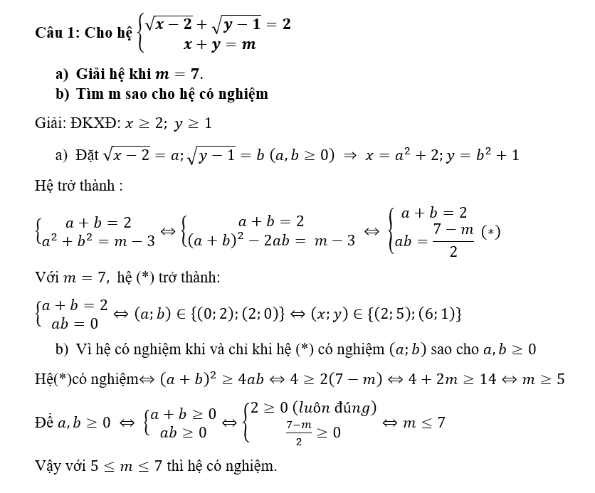
Mng xem giúp ạ
4a)
\((2n+1)^3+1=(2n+2)(4n^2+2n+1)\) (đặt là (*)) chia hết cho 2^2021
Nên 2n+2=(2^a)*u
4n^2+2n+1=(2^b)*v
(Trong đó u,v,a,b là các số tự nhiên thoả a+b=2021)
Mà 4n^2+2n+1 lẻ với mọi n là stn=> b=0 và v là số lẻ
=> a=2021, do đó 2n+2=(2^2021)*u
=>n+1=(2^2020)*u
=>n=(2^2020)*u-1
Thử lại vào (*) thấy đúng với mọi u là stn lớn hơn 0
Vậy n=(2^2020)*u-1 với mọi u là stn lớn hơn 0\)

Bài bất câu a mình không làm phản chứng mà làm như trên có ổn ko ạ?
Đề Toán không chuyên PTNK thi sáng nay. Các bạn tham khảo

Em xin phép gửi lời giải câu 3 của em ạ.