Math Dreamer
Bài Viết-Tài Liệu-Tin Tức
Cộng Đồng-Thảo Luận
Danh mục khóa học
Khóa học
MathDreamer+
Latex Online
Python Online
Đăng Nhập
Đăng Kí
* Tuyển tập các đề thi chọn đội tuyển 2020-2021
* Tuyển sinh CLB Toán Lim năm học mới
* Tuyển tập các bài toán số học hay ôn thi chọn đội tuyển VMO 2022
* Tuyển tập các bài toán Hình Học Phẳng ôn thi chọn đội tuyển hay
* Tuyển chọn các bài toán hay trong ôn tập thi vào 10 chuyên Toán
* Hướng dẫn cách chèn hình ảnh vào web sử dụng Imgur
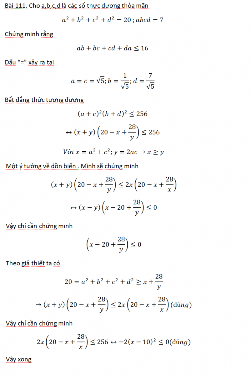
Không ai chữa thì mình đành chữa vậy :))
Được tạo lúc 2021-05-20 19:40:44
,
cập nhật lúc 2021-05-20 19:40:44
Đặng Trọng Nghĩa
Trả lời