
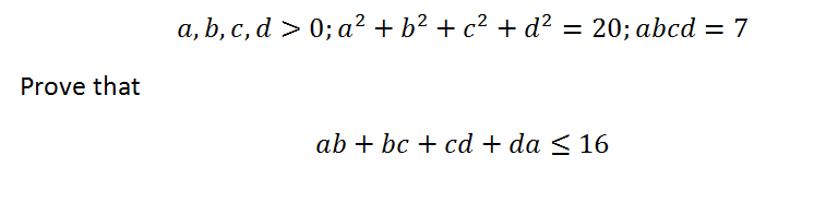
4 biến
Được tạo lúc 2021-05-19 20:19:48 , cập nhật lúc 2021-05-19 20:19:48
Đặng Trọng Nghĩa
Lửa chùa
Con nghiện của làng liên quân
Bình luận được tạo lúc 2021-05-19 20:32:21Chỉnh sửa lần cuối vào 2021-05-19 20:32:21
Nội dung
tôi thấy đăng bất đẳng thức như độc thoại với chính mình ý bạn =))
nên có vẻ là ko ai sol đâu
Đặng Trọng Nghĩa
ăn chơi nhảy múa
Bình luận được tạo lúc 2021-05-19 23:30:16Chỉnh sửa lần cuối vào 2021-05-19 23:30:16
Nội dung
Nhóm hông ai trả lời vậy ta 😓
Khương Nguyễn
Geometry Man
Bình luận được tạo lúc 2021-05-20 00:10:58Chỉnh sửa lần cuối vào 2021-05-20 00:10:58
Nội dung
chắc tại bài e khó thôi. Nhóm toàn thánh bất :))